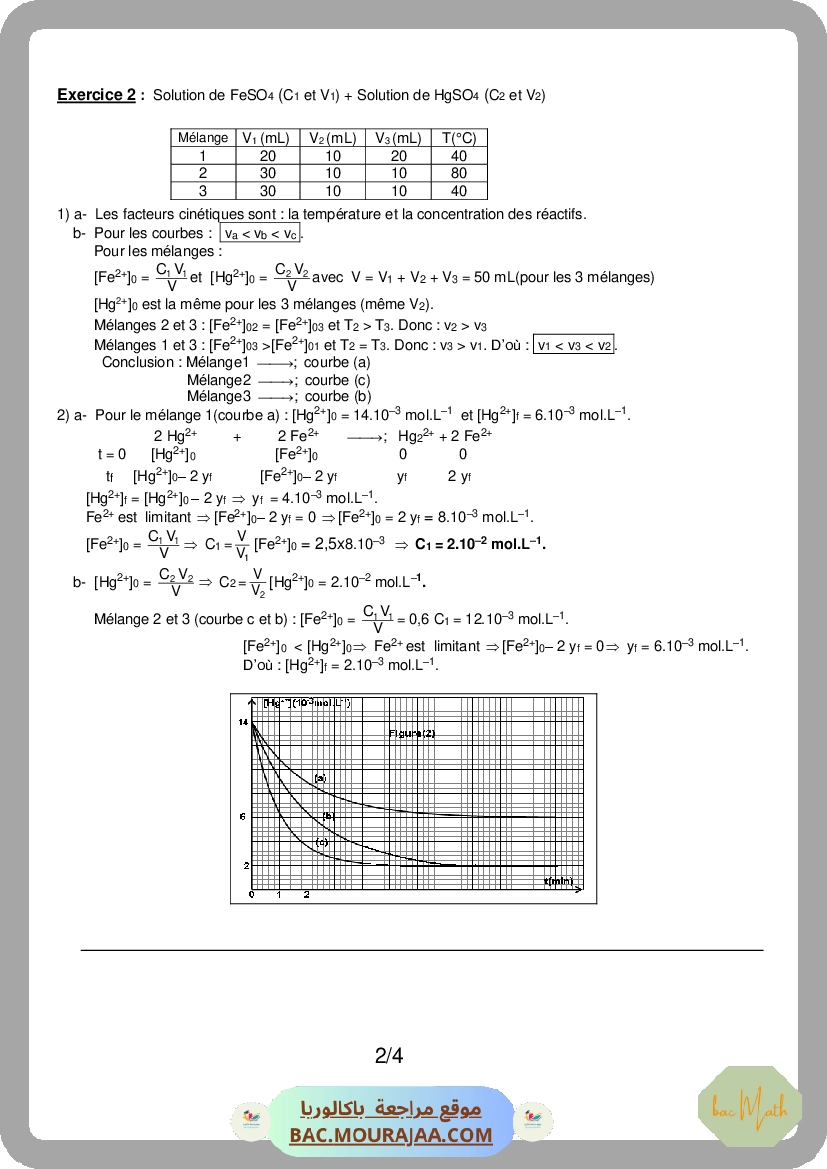
devoir corrige controle 1 physique lycee pilote sfax bac math 2015