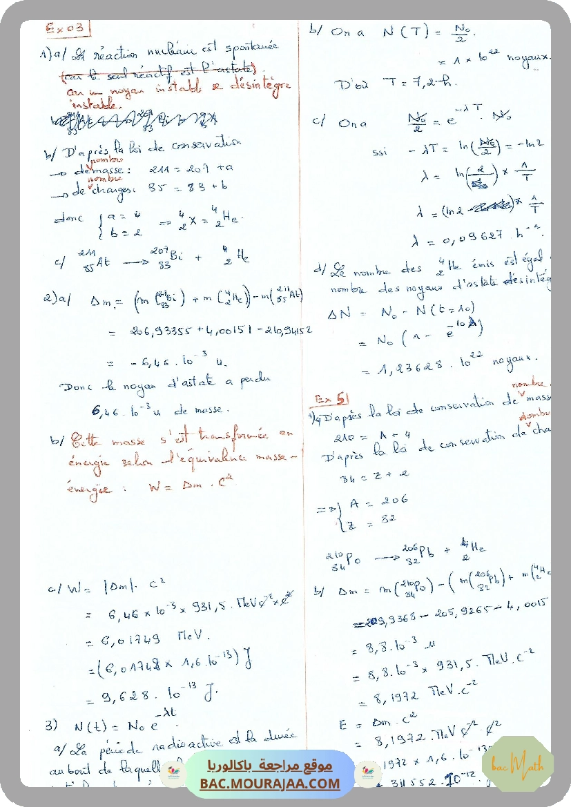
Serie 23 Noyau atomique Reactions nucleaires