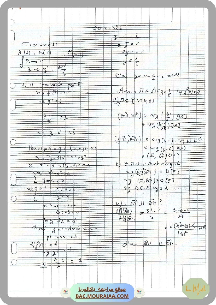
Serie complex + correction